近期,beat365唯一官方网站师生在可压缩流体的能量传输研究领域取得重要进展,系统揭示了二维可压缩泰勒-格林涡中动能与内能交换的多阶段演化机制,并明确了初始马赫数对各阶段能量传递的关键影响。这一成果为深入理解可压缩流动中能量传递的物理本质、改进湍流模型等提供了新的理论依据。相关研究成果以“Energy exchange in two-dimensional compressible Taylor-Green vortex flows”为题,于12月10日发表在流体力学著名期刊Physical Review Fluids。beat365唯一官方网站航空发动机研究院博士生张小月(2023年硕士毕业于beat365唯一官方网站)为第一作者,beat365唯一官方网站张瑾副教授和方乐教授为共同通讯作者。
作为航空航天、能源动力等领域的关键基础问题,可压缩流动中的能量交换机制长期备受关注。与不可压缩湍流不同,可压缩流动中存在通过压力-膨胀项实现的动能与内能之间的可逆能量交换,这直接影响流动的演化、耗散等特性。然而,现有研究多集中于充分发展的湍流,对从纯无旋初始场到准平衡态的初始过渡阶段,尤其是初始马赫数对流体发展过程中能量传输的影响,尚缺乏系统认识。
泰勒-格林涡作为一种经典的各向异性流动,如图1所示,其初始场是一个纯不可压缩的流场,为研究上述问题提供了理想的理论与数值实验平台。
图1 泰勒-格林涡初始时刻沿x方向速度分布云图
研究团队通过理论分析和直接数值模拟方法相结合,系统研究了初始马赫数在0.2至1.0范围内、雷诺数为1600的二维可压缩泰勒-格林涡发展过程中能量传输过程。通过采用Helmholtz分解将动能分解为可压缩分量与不可压缩分量,并依据流动演化特征将其清晰划分为三个阶段:压缩性生成阶段、过渡阶段和振荡衰减阶段,如图2 所示。
图2 空间平均动能随时间的发展,马赫数分别为0.2, 0.4, 0.6, 0.8和1.0
在压缩性生成阶段,团队基于弱可压缩假设,从理论上推导了可压缩速度场的生成机制,并得到数值模拟结果的验证(图3)。研究表明,该阶段可压缩动能随时间呈二次方增长,来源于不可压缩动能的平流输运,且该过程与初始马赫数无关。
图3 压缩性生成阶段可压缩动能随着时间的发展
在过渡阶段,初始马赫数的影响显著增强。较高马赫数下流动压缩性大幅提升,甚至诱发激波,显著增强了动能耗散。研究进一步建立了膨胀压力-膨胀项极小值出现时间与初始马赫数之间的线性关系(图4)。

图 4 膨胀压力-膨胀项极小值及其出现时间和马赫数之间的关系
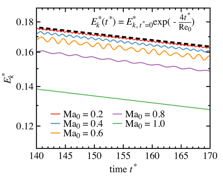
在振荡衰减阶段,动能整体呈指数衰减并叠加小幅振荡(图5)。研究揭示该振荡源于内能与可压缩动能之间通过压力-膨胀项进行的周期性声学能量交换。尽管可压缩动能占比极小,却是连接不可压缩动能与内能、实现可逆能量交换的关键媒介。

图 5 动能随时间的震荡衰减
该研究不仅系统阐释了二维可压缩泰勒-格林涡中动能与内能的交换路径(图6),所建立的阶段划分框架和分析方法,也为后续研究三维流动中更复杂的涡旋拉伸、重联等动力学对能量交换的影响奠定了基础。研究成果有望推动针对可压缩湍流的高精度模拟与建模的发展,对航空航天发动机内流、高超声速飞行器绕流等实际工程问题中的模拟预测能力的提升具有重要指导意义。

图6 二维泰勒-格林涡中的动能和内能交换路径
本项研究工作得到了国家自然科学科学基金(12372214、U2341231)的资助。
文章链接:https://link.aps.org/doi/10.1103/7rgl-glml